La Administración Federal de Ingresos Públicos (Afip) publicó las tablas con los parámetros actualizados de las categorías de monotributo vigentes desde el 1° de enero del 2023.
Se actualizaron tanto los parámetros de encuadre para la categorización como los valores a abonar mensualmente para cada categoría.
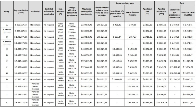
Esta tabla es la que se deberá tener en cuenta para la próxima recategorización con vencimiento en el mes de enero 2023, donde habrá que comparar las ventas del año calendario 2022 contra estos valores y encuadrarlo en la categoría que corresponda de acuerdo con los parámetros a evaluar.
Los límites de facturación para locación y prestaciones de servicios quedan establecidos en $5.650.236,51 (categoría H) luego teniendo que pasar al Régimen General y para venta de cosas muebles es de $8.040.721,19 (categoría K).
En tanto, el precio unitario máximo para venta de cosas muebles a partir de enero será de $85.627,66 (lo que equivale a un aumento del 72%).
Vale destacar que la suba anual del límite de facturación fue más alta que la inflación solo en las categorías más bajas (A, B y C), las que habrán mantenido los limites en términos reales, o habrían tenido alguna mejora, al comparara esas variaciones de 114,39% contra la inflación con que cerrará el 2022.
Para el resto de las categorías, es marcada la inequidad en el sentido que tienen un ajuste de la facturación de 72,44% o 93,42% anual (solo en el caso de la D) contra una inflación que finalizará en el mejor de los casos en torno al 95%.
Esto se traduce en más de 25 puntos porcentuales de diferencia que hará que contribuyentes suban de categoría por el mero efecto inflacionario, cuando en términos reales no tuvieron una mejora. Una mayor presión fiscal por efectos de la inflación y no actualizar al mismo ritmo los límites. Mayor recaudación para la Afip.
Actualizacion de cuotas del monotributo
En cuanto a los montos a pagar por los contribuyentes, la categoría A comenzará a abonar $ 5.750,75 -por mes lo que significa un incremento del 72,48% anual.
En el otro extremo, la categoría H (máxima para servicios) abonarán $ 31.347,16 mensualmente (resultando un aumento del 94,53%) y para la categoría K (la más alta de venta de bienes) se estipuló un monto de $ 50.717,92 por mes (equivalente a un 102,14%).
Estos aumentos también son producto del cambio que incluyó el Presupuesto 2023 con la progresividad de los aportes de la Obra Social. Dado que se cambió lo que era un aporte de una suma fija igual para todas las categorías por un pago progresivo acorde a cada nivel de facturación.
Este incremento vino a saldar un reclamo histórico de las prestadoras dado lo poco que aportaban los monotributistas y que las obras sociales atendían a perdida, desfinanciando el sistema. De esta forma se busca evitar que se dé la situación que muchos monotributistas han denunciado: las obras sociales del listado del Programa Medico Obligatorio (PMO), rechazan o dificultan la inscripción a los monotributistas que quieran atenderse en sus dependencias, por más que esté prohibido.

Comentarios